Stelsels en matrices 1: Stelsel voorstellen door een matrix

M x N-stelsel voorstellen d.m.v. een matrix Leraar: Roberta Johnson
Diploma: Master of Science in Fysica

Lestraject bekijken?


Probeer WeZooz Academy meteen even GRATIS uit en start met leren dankzij onze diverse lestrajecten voor vakken in de 3de graad!

Gratis proberen Aanmelden

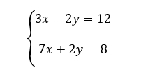
In dit eerste traject over stelsels en matrices kan je één video bekijken waarin een stelsel van vergelijkingen omgezet wordt naar een matrix. Je leert wat de coëfficiëntenmatrix is en de uitgebreide matrix. Dus er wordt wel verwacht dat je de basis van matrices al goed kent.

Maak daarna de oefening en test jezelf op het einde! Veel succes!

Dit lestraject bestaat uit 3 lessen,
Geschatte duurtijd: 12 minuten.

Gratis proberen Aanmelden

Bekijk volledig traject Verberg volledig traject