Stelsels oplossen - Deel 3: Vraagstukken

Vraagstukken oplossen a.d.h.v. stelsels - vb. 1 - prijzen Leraar: Sjoert De Cremer
Diploma: Bachelor in het Onderwijs: Secundair Onderwijs

Lestraject bekijken?


Probeer WeZooz Academy meteen even GRATIS uit en start met leren dankzij onze diverse lestrajecten voor vakken in de 2de graad!

Gratis proberen Aanmelden

Leer hier vraagstukken oplossen aan de hand van stelsels. Onze leerkracht begeleidt je met 3 voorbeelden!

Dit lestraject bestaat uit 7 lessen,
Geschatte duurtijd: 25 minuten.

Gratis proberen Aanmelden

  • Inhoudstafel Stelsels oplossen - Deel 3: Vraagstukken
  • Vraagstukken oplossen a.d.h.v. stelsels - vb. 1 - prijzen

    Sjoert lost in deze video vraagstukken op met stelsels - vb. 1, prijzen. (2de graad)

    Sjoert lost vraagstukken op i.v.m. prijzen door de onbekenden te kiezen en stelsels op te stellen.

  • Vraagstuk prijzen: Oefening

    1. In een boekhandel kan je schoolagenda's en wiskundeboeken kopen. Als je één agenda en twee wiskundeboeken koopt, dan betaal je 55 euro. Als je twee agenda's koopt en drie wiskundeboeken, dan betaal je 90 euro. Wat is de prijs van een schoolagenda en van een wiskundeboek?
  • Vraagstukken oplossen a.d.h.v. stelsels - vb. 2 - leeftijden

    Sjoert lost in deze video vraagstukken op met stelsels - vb. 2, leeftijden. (2de graad)

    Sjoert lost vraagstukken op i.v.m. leeftijden door de onbekenden te kiezen en stelsels op te stellen.

  • Vraagstuk leeftijden: Oefening

    1. Nathalie en haar tante Martine zijn samen 54 jaar oud. Binnen 3 jaar is tante Martine driemaal zo oud als Nathalie. Hoe oud zijn Nathalie en Martine op dit moment?
  • Vraagstukken oplossen a.d.h.v. stelsels - vb. 3 - stappenplan

    Sjoert overloopt in deze lesvideo het stappenplan om vraagstukken op te lossen. (2de graad)

    Het stappenplan om vraagstukken op te lossen met behulp van stelsels wordt overlopen door Sjoert. Lees het vraagstuk, bepaal de onbekenden... en ga zo maar verder!

  • Stappenplan: Oefening

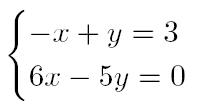
    1. Is V={(-2,3)} de oplossingenverzameling van volgend stelsel?
  • TEST - Stelsels oplossen - Deel 3: Vraagstukken

    1. Je ouders hebben hun oog laten vallen op een mooie tafel en acht bijpassende stoelen. De kostprijs hiervan is 649 euro.
      De tafel kost drie keer meer dan een stoel. Bepaal de kostprijs van de tafel en van een stoel. 

      Antwoord met twee gehele getallen gescheiden door een komma. Het eerste getal is de prijs van de tafel, het tweede getal is de prijs van een stoel. 

    2. Het dubbele van de leeftijd van Jasper is twaalf minder dan het drievoud van de leeftijd van Evelien. Het vijfvoud van de leeftijd van Jasper is negentien meer dan het viervoud van de leeftijd van Evelien. Hoe oud zijn ze beiden?

      Antwoord met twee gehele getallen gescheiden door een komma. Het eerste getal is de leeftijd van Jasper, het tweede getal is de leeftijd van Evelien.

    3. Is V={(10,-2)} de oplossing van volgend stelsel: 

Bekijk volledig traject Verberg volledig traject